China data on the burden of alcohol-associated liver cancer from 1990 to 2021: a systematic analysis from the global burden of disease study 2021
Nan Luo, Prasai Arzoo, Juanli Xua, Pengkhun Novb and Jiqiang Li
Department of Radiation Oncology, Oncology Center, Zhujiang Hospital, Southern Medical University, No. 253 Mid Gongye Avenue, Haizhu District, Guangzhou, Guangdong Province 510282, China
a https://orcid.org/0000-0002-585-5911
b https://orcid.org/0000-0002-7016-8285
Abstract
Background: Alcohol consumption is a significant risk factor for liver cancer, particularly hepatocellular carcinoma. In China, the incidence of liver cancer has been rising, necessitating an in-depth analysis of the relationship between alcohol consumption and liver cancer burden.
Objective: This study aims to assess the burden of alcohol-associated liver cancer (A-LC) in China from 1990 to 2021, utilising data from the Global Burden of Disease (GBD) Study 2021.
Methods: This study first gathered data on A-LC in China, focusing on age, sex, incidence, prevalence, mortality, disability-adjusted life years (DALYs) and risk factors, using information from the 2021 GBD study covering the years 1990–2021. Next, the research examined the temporal trends of A-LC burdens in China during the same period, employing linear regression modeling to calculate estimated annual percentage change (EAPC) values. Additionally, the autoregressive integrated moving average and exponential smoothing model were utilised to project future disease burdens from 2022 to 2050. Finally, the study analysed risk factors associated with A-LC.
Results: The number of deaths and DALYs for A-LC grew significantly during the study period 1990–2021 (in 1990, in 2021). However, age-standardised deaths and DALYs declined (deaths: 0.87 in 1990 and 0.85 in 2021, DALYs: 24.26 in 1990 and 22.01 in 2021). EAPC = 0.16 (95% CI 0–0.32) for deaths in patients with A-LC and EAPC = −0.18 (95% CI −0.34 to −0.01) for DALYs. Although age-standardized death rates have declined in the last 3 years, the number of incidence, disease and death cases of A-LC patients in China has increased with the progress of time. In 2021, ASIR and ASPR reached the highest in history and the large base of A-LC patients in China and the overall situation of the people should not be underestimated. While East Asia and the high-income Asia-Pacific region declined over the study period, Central Asia saw an increase in age-standardised DALY rates. Age-standardised DALYs also grew significantly in high-income populations in North America and Australasia.
Conclusion: A-LC remains a serious threat to the major health problems of the Chinese people, especially men, and the burden of liver cancer associated with obesity risk factors is also increasing significantly and is expected to continue to grow over the next 25 years.
Keywords: GBD, alcohol-related liver cancer (A-LC), mortality, disability-adjusted life years, epidemiology
Correspondence to: Jiqiang Li, Pengkhun Nov and Juanli Xu
Email: ljq821028@126.com, pengkhun01@gmail.com and 644021937@qq.com
Published: 13/01/2026
Received: 25/05/2025
Publication costs for this article were supported by ecancer (UK Charity number 1176307).
Copyright: © the authors; licensee ecancermedicalscience. This is an Open Access article distributed under the terms of the Creative Commons Attribution License (http://creativecommons.org/licenses/by/4.0), which permits unrestricted use, distribution, and reproduction in any medium, provided the original work is properly cited.
Introduction
Liver cancer, particularly hepatocellular carcinoma (HCC), has emerged as a significant global health burden, with alcohol consumption identified as a major contributing factor [1]. In recent decades, China has witnessed a marked increase in liver cancer incidence, paralleling rising alcohol consumption rates [2, 3]. Alcohol-associated liver disease encompasses a spectrum of conditions, including fatty liver, alcoholic hepatitis and cirrhosis, which can predispose individuals to liver cancer [4–6].
Previous studies analysing the burden of primary liver cancer in the literature have focused on the distribution of countries or regions globally, on a single most common cause, such as Hepatitis B virus and Hepatitis C virus (HCV) infection or alcohol consumption or on single-year studies that did not analyse overall time trends [7–11]. However, information focusing on the Chinese region is still lacking in up-to-date analyses. The only literature available in the repository showed that in China, the number of primary liver cancer cases and deaths grew to 433.11% from 1919 to 1990 and 42.68% from 1990 to 2019. From 1990 to 2019, the global age-standardised incidence rate (ASIR) and age-standardised rate (ASR) mortality rate (ASMR) of primary liver cancer declined on average each year, whereas from 1990 to 2019, the ASIR of primary liver cancer and the ASMR showed a stable trend [12]. Between 1990 and 2019, nearly half of the countries had an upward trend in ASIR for primary liver cancer, and more than one-third of the countries supported an upward trend in ASIRs for primary liver cancer of all etiologies globally [12, 13].
The Global Burden of Disease (GBD) Study provides comprehensive data on disease prevalence, incidence, mortality and risk factors across countries and regions. Understanding the burden of alcohol-associated liver cancer (A-LC) in China from 1990 to 2021 is crucial for public health planning and intervention strategies. In this study, we aim to: (1) Describe China Data on the Burden of A-LC from 1990 to 2021; (2) Identify temporal trends in A-LC burdens; (3) Quantify the contribution of risk factors to A-LC incidence, death, prevalence and DALYs in china; (4) Develop predictive models to project future A-LC burdens in china from 2022 to 2050. The main goal of this study is to illuminate epidemiologic patterns in order to guide resource allocation and track progress toward achieving health-related Sustainable Development Goals.
Methodology
Materials and methods
Overview
GBD source: The 2021 GBD analysis synthesises contemporary epidemiological data through standardised protocols to assess disease burden across 204 countries and territories. This comprehensive investigation examines 371 health conditions and their associated impairments, along with 88 risk factors. Results are accessible via the GBD Results Tool (http://ghdx.healthdata.org/gbd-results-tool), which facilitates data stratification by demographics and 27 geographical regions. To assess the burden of A-LC in China, we retrieved data from the Global Health Data Exchange (https://ghdx.healthdata.org/gbd-resultstool).
For tracking A-LC epidemiology, we employed two key metrics: ASRs and estimated annual percentage changes (EAPCs). ASR enables the identification of disease patterns within populations, informing targeted prevention strategies, while EAPC quantifies temporal trends in disease burden across demographic groups.
Methodologically, we utilised DisMod-MR 2.1, implementing Bayesian meta-regression through a systematic framework. Data preparation involved disaggregation of non-specific demographic information and application of Meta-Regression-Bayesian, Regularised, Trimmed techniques to ensure cross-study comparability.
Statistical analysis
Our analysis presents a comprehensive assessment of A-LC burden, examining 2021 data for incidence, prevalence, mortality and disability-adjusted life years (DALYs) at Chinese scales. We stratified results by demographic factors, including age and sex, enabling the identification of population-specific disease patterns and evaluation of intervention efficacy.
Temporal trend analysis spanned 1990–2021, employing linear regression to calculate EAPCs in ASRs. We defined trend directionality using 95% uncertainty intervals (UIs): increasing trends required positive EAPC estimates with lower UI bounds above zero, while decreasing trends required negative estimates with upper UI bounds below zero. Cases falling between these criteria were classified as stable.
Risk factor analysis emphasised secondary and tertiary determinants, examining mortality and DALYs associated with Level 2 factors (alcohol and smoking) and Level 4 factors (body mass index). This approach aligns with World Cancer Research Fund guidelines, employing comparative risk assessment frameworks. Complete risk factor methodologies are available in the 2021 GBD risk factors report.
For future trajectory modeling, we implemented AutoRegressive Integrated Moving Average (ARIMA) analysis. This approach necessitated data stationarity through differencing procedures. Model parameters (p,d,q) were optimised using autocorrelation (ACF) and partial ACF functions (PACFs). Forecasting utilised R software (version 4.3.2) with forecast and series packages. Model validation incorporated multiple statistical tests: Ljung-Box Q-test for forecast error independence, Shapiro-Wilk test for residual normality and Breusch-Pagan test for homoscedasticity. Furthermore, we also use the exponential smoothing (ES) model to predict. ES is a forecasting technique that leverages past observations to predict future values. It excels in handling time series data, where observations are recorded at consistent intervals. ES assigns higher significance to recent observations, while retaining consideration for older data, allowing it to readily adapt to evolving patterns. Statistical significance was established at p < 0.05.
Result
2021 China burden of A-LC
From the Figure 1, we can see that in terms of A-LC incidence and a number of diseased cases, A-LC in China is mainly concentrated and highly incidence in the elderly aged 60–74 years, especially in the age group of 65–69 years and the number of A-LC patients in China in 2021 reached a maximum of 4,072 (95% UI, 2,796–5,762) cases; whereas, A-LC rarely occurs in the middle-aged and young people younger than 40 years of age (Figure 1b, Table 1).
Observation of ASIRs, prevalence rates, mortality rates and DALYs of patients with A-LC that the trends of these four major indicators were slightly different in each age group (Figure 1a). In terms of ASIR, in patients younger than 74 years of age, ASIR grew yearly with age and declined in the age group of 75–79 years, then increased to reach the maximum value of ASIR in the age group of 85–89 years. Mean 6.22 (95% UI, 4.61–8.27) per 100,000 and then decreased with age (Figure 1a, Table 1).

Figure 1. Visualises the trend of ASR and a number of cases for different age groups regarding incidence, prevalence, mortality and DALYs in China in 2021. (A) ASR of cases for different age groups regarding incidence, prevalence, mortality and DALYs. (B) A number of cases for different age groups regarding incidence, prevalence, mortality and DALYs.
Table 1. The number of incidence cases and the ASIR attributable to A-LC in 1990 and 2021, and its trends from 1990 to 2021 in China.

Age-standardised prevalence rates (ASPRs) and age-standardised death rates (ASDRs) followed essentially the same trend, sharing the common pattern of growing to a peak and then declining with age, with the difference that the peak ASPR of 6.72 (95% UI, 4.68–9.84) per 100,000 occurred in the 70–74 year age group, whereas the peak ASDR of 6.82 (95% UI 5.05–9.02) occurred in the 85–89 age group (Figure 1a, Tables 2 and 3).
The overall trend in age-standardized disability-adjusted life-years rate (ASDAR) change also showed an increase and then a decrease with age, with the peak age groups of 65–69 and 70–74 exceeding 100 in both phases of the data, reaching 118.19 (95% UI, 81.32–167.08), 116.17 (95% UI, 81.32–169.75) per 100,000 population (Figure 1a, Table 4).
In conclusion, the overall trends of ASR and number of the four major epidemiological indicators of A-LC patients in China were similar, with the high prevalence of the disease concentrated between 65 and 89 years of age, although there were slight differences in the age groups in which the maximum values of the respective indicators were located and the ASR and number of cases for the four major indicators rose before the period of concentrated high prevalence and then declined after the period of concentrated high prevalence (Figure 1).
In addition, the ASRs associated with A-LC incidence, prevalence and death were almost zero in young and middle-aged people before the age of 40 years, indicating that the probability of alcoholic liver cancer in young and middle-aged people in China is very low; and the population DALYs were also much smaller than 11 (Figure 1, Table 4).
In 2021, the number of A-LC incidence in China was 13,885 (95% UI, 9,569–19,671) for males and 6,579 (95% UI, 4,820–8,697) for females, with an ASIR of 1.33 (95% UI, 0.93–1.85) per 100,000 for males and 0.58 (95% UI, 0.43–0.77), with the number of cases and ASIR in men 2.11 and 2.29 times higher than those in women, respectively (Figure 2, Table 1). In 2021, the number of A-LC cases and deaths in Chinese men were 18,117 (95% UI, 12,306–25,853) and 12,198 (95% UI, 8,489–17,015), respectively, which were 2.23 and 6,119 (95% UI, 4,472–8,144) times higher than the corresponding figures for women (8,125 (95% UI, 5,909–10,777) and 6,119 (95% UI, 4,472–8,144) 2.23 and 1.99 times (Figure 2, Tables 2 and 3).
In the case of DALYs, despite the decrease in both male and female ASDAR in 2021 compared to the previous 1990, the value of ASDAR in 2021 was still significantly higher for males 30.96 (95% UI, 21.08–43.77) than for females 13.34 (95% UI, 9.6–17.61) and males were 2.32 times more likely to be female (Figure 2, Table 4). The male EAPC was 0 (95% CI, −0.16 to 0.17) and the female EAPC was −0.46 (95% CI, −0.61 to −0.3) (Table 4).
The overall data for males exceeded those for females by a significant multiplicative relationship, both in terms of liver cancer incidence, prevalence, deaths, ASRs associated with DALYs (Figure 2a), and in terms of the number of cases for the four major epidemiological indicators (Figure 2b) (Figure 2). Such a clear trend of gender difference in the data in Figure 2 indicates that men are at high risk of developing A-LC in China.
Table 2. The number of prevalence cases and the ASPR attributable to A-LC in 1990 and 2021, and its trends from 1990 to 2021 in China.

Table 3. The number of deaths cases and the ASDR attributable to A-LC in 1990 and 2021, and its trends from 1990 to 2021 in China.

Comparison of changes in the four main indicators of incidence, prevalence, mortality and DALYs of A-LC 1990–2021 and interpretation of their underlying etiological analyses
Looking at the clustered lines on the right side of the figure, it can be seen that the light blue, dark green and light green coloured lines occupy the uppermost area of the graphs of the four epidemiological indicators for almost the entire period and have been increasing significantly since 2005; on the contrary, the colour lines of the age groups less than 40 years old have either been increasing slowly or have remained virtually unchanged (Figure 3b).
In other words, in terms of the number of liver cancer cases from 1990 to 2021, the number of alcohol-related primary liver cancer incidence, disease, death and disability-adjusted life-year cases in China is concentrated in the older age groups of 60–65, 66–69 and 70–74 years old, and the growth rate of the data generally culminated in a climax in the years of 2005–2021; while the number of liver cancer cases in people younger than 40 years old is lower. The number of liver cancer cases in the under age group was low and not significantly changing (Figure 3b).
Looking at the left graph, in addition to the light blue, dark green and light green lines similar to the right graph, three other colours, brown, dark red and light red, dominate the top of the graph, even beyond the blue–green series and show fluctuating increases and decreases in the later period (Figure 3a).
Table 4. The number of DALYs cases and the age-standardised DALYs rate attributable to A-LC in 1990 and 2021, and its trends from 1990 to 2021 in China.


Figure 2. Shows the comparison of ASRs and number associated with incidence, prevalence, death and DALYs of A-LC patients of different genders in China in 2021.

Figure 3. The graphs show that the ASIR, ASPR, ASDR and ASDAR of A-LC patients in China from 1990 to 2021 varied greatly among their respective age groups, while the differences among groups of disease-related cases were relatively insignificant.
In other words, in terms of liver cancer-related ASRs from 1990 to 2021, A-LC ASIR, ASPR, ASDR and ASDAR in China were concentrated in the older age groups (60–65, 66–69, 70–74, 75–79, 80–84 and 85–89) in the 60–89 age group (Figure 3a), of which 80–84 was the oldest age group, Figure 3a), of which the ASDR and ASDAR of two age groups, 80–84 and 85–89 years old, showed three small peaks of values in the 3 years of 2010, 2014 and 2017, and simultaneously reached the maximum value of more than 7.5 and more than 100, respectively, in 2014 (Figure 3a).
The graph of the age group 60–64 years (light blue line), which was ranked second overall in the number of cases of A-LC incidence, prevalence, death and disability-adjusted life-years (ASDR, ASDAR), showed a similar trend from 1990 to 2021, i.e., the number of cases of A-LC firstly increased year by year and reached the maximum in 2016 or 2017, and then the number of prevalence gradually declined with the increase of time, and by 2021, the number of cases of A-LC The number of deaths declined to 2,266 (95% UI, 1,358–3,453) and the number of DALYs declined to 65,878 (95% UI, 39,452–100,372) (Figure 3b, Tables 3 and 4).
From 1990 to 2021, although the overall trends of ASIR, ASPR, ASDR, ASDAR and the corresponding number of cases of the indicators in Chinese patients with A-LC and HCC were similar between males and females under the same indicators, there were obvious gender differences in the values, which were manifested in the fact that males' values were constantly higher than those of females (Figure 4).
Interestingly, similar to the phenomenon of sudden trough (a sudden and accidental drop in the overall upward trend) that occurred in Figure 3, the number of cases of the four major indicators on the right side of Figure 4 also suddenly and significantly dropped to reach the bottom of the overall upward trend around 2005, and then rose or fluctuated upward (Figures 3b and 4b).
A closer look at the lines of male patients with a high incidence of liver cancer revealed that - first, the overall ASIR and ASPR of male liver cancer patients followed the same age pattern, with a small increase over time from 1990 to 2000, followed by a decline from 2000 to 2005, reaching a trough value in 2005, and then growing growing yearly until 2019 when it declined again slightly (Figure 4a).
Second, male ASIR reached a maximum value of over 1.25 in 2017, ASPR reached a maximum value close to 1.75 in 2019 and ASDR reached a maximum value close to 1.3 in 2014 (Figure 4a).

Figure 4. Depicts the trends of ASRs and corresponding number of cases associated with incidence, prevalence, death and disease-disability-adjusted life expectancy of A-LC patients of different genders in China from 1990 to 2021.
Third, the overall ASDR and ASDAR data for male liver cancer patients followed the same age pattern, with three distinct peaks and two distinct troughs in the graph lines, with the trough values occurring in 2006 and 2012, respectively (Figure 4a).
In terms of the overall trend of the ASR data from 1990 to 2021, the ASIR and ASDR values for male liver cancer patients were greater than 1, whereas the ASIR and ASDR values for females were less than 0.7; in terms of the ASDAR, it fluctuated above a constant 25 for males, whereas it was below a constant 18 for females and generally showed a decreasing trend over time (Figure 4a).
From 1990 to 2021, the number of liver cancer patients with incidence and disease and the ASIR and ASPR, followed the same time-varying pattern, whereas the number of cases of disease and the corresponding change in ASR for the same metrics showed significant differences. During this period, the number of cases of A-LC patients in China generally grew over time, as shown by a small increase in the above four indicators from 1990 to 2000, a general plateau from 2000 to 2005, and a large increase in the number of cases from 2005 to 2021 (Figure 5a,b). The number of patient incidence cases, prevalence cases, and deaths increased to historical highs of 20,464 (95% UI, 15,239–27,296), 26,242 (95% UI, 19,417–34,985) and 18,317 (95% UI, 13,653–24,252) people, respectively (Figure 5, Table 1 incidence, Tables 2 and 3). EAPC (95% CI) were 0.62 (0.43–0.81), 1.15 (0.93–1.37) and 0.16 (0–0.32), respectively (Tables 1–3). The number of deaths and DALYs generally showed an upward trend and the fluctuating changes in ASDR and ASDAR all showed trough values in 2005 and 2012 (Figure 5c,d).
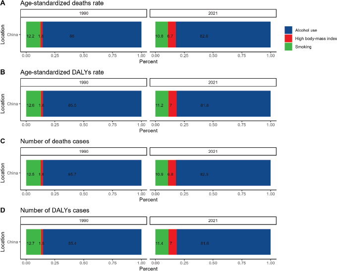
Composition ratio of the three risk factors in A-LC, 1990 versus 2021
Analysing Chinese liver cancer patients, we found the following among the three major risk factors for A-LC in China, alcohol abuse dominates with more than 80% share, smoking ranks second with more than 10% share and high body mass index (obesity H-BMI) ranks last with less than 10% share. However, despite high body mass index (obesity H-BMI) having the smallest share of the three major risk factors, obesity was the indicator that grew most significantly in 2021 compared with 1990; in contrast, alcohol abuse and cigarette smoking instead declined in their share of the three major risk factors for patients with HCC in 2021 (Figure 6).
Age-standardised mortality and DALYs caused by obesity increased from 1.8% to 6.7% and from 1.8% to 7%, respectively (Figure 6a,b) and age-standardised mortality and DALYs caused by alcoholism decreased from 86% to 82.6% and 85.5% to 81.8%, respectively (Figure 6a,b).
The proportion of patient deaths caused by obesity or alcohol abuse grew from 1.8% to 6.8% and 85.7% to 82.3%, respectively (Figure 6c). The percentage of DALYs for patients caused by obesity or alcohol abuse grew from 1.8% to 7% and decreased from 85.4% to 81.6%, respectively (Figure 6d).
The reason for this may be that since the 21st century, with the rapid change of scientific and technological progress and medical technology, the improvement of China's comprehensive national power and economic level, the increase of people's general life well-being index and the rise of health consciousness, the obese population in China has grown, while the population of alcoholism and smoking has greatly decreased and the proportion of liver cancer patients with obesity as a risk factor has grown, while the proportion of patients with traditional alcoholism and smoking has gradually declined. The proportion of liver cancer patients with obesity as a risk factor has increased significantly, while the proportion of traditional alcohol and smoking patients in liver cancer patients has gradually decreased.
Two major models project A-LC trends from 2022 to 2050
Predictions from the ARIMA and ES models suggest that between 2022 and 2050, the number of A-LC incidence cases, prevalence cases, deaths and DALYs will rise for both sexes. However, ASRs of incidence, prevalence, mortality and DALY are projected to decline for both sexes over this period (Figures 7 and 8; Tables 5 and 6).

Figure 5. Shows the trends and numerical comparisons of the relevant age-standardised rates (per 100,000 population) and the respective corresponding number of cases for incidence, prevalence, death and DALYs of patients with alcohol-related liver cancer from 1990 to 2021.

Figure 6. Analysis of A-LC-related risk factors.
Discussion
In this study, we dug deeper into the GBD database for the years 1990–2021, comparing the GBD data reporting studies published in The Lancet for 371 diseases and injuries for 204 countries and territories and 811 subnational localities for the years 1990–2021 [14] explored the incidence, prevalence, mortality and DALYs for cancers in China during the years 1990–2021, corresponding to incidence, prevalence and the number of cancer patients, respectively. In 2021, China is projected to experience 20,464 cases of incidence, 26,242 cases of disease, 18,317 deaths and 477,847 DALYs. These figures have steadily increased from 1990 to 2021. During this period, the ASRs for morbidity and prevalence tended to increase, whereas the ASRs for mortality and DALYs tended to decrease. Our findings align with previous literature that the temporal trends in incidence rates vary considerably across regions and countries and are broadly consistent with regional trends in liver cancer mortality [15]. Previously reported trends of increasing incidence and deaths from primary liver cancer may be largely due to global population aging and population growth [8, 16–18]. In contrast to studies assessing the NAFLD-attributable burden of HCC, which report global increases in absolute deaths and ASDRs over the past decade, our findings highlight significant heterogeneity across different demographic groups.

Figure 7. The predicted results in the A-LC-related numbers and age-standardised rates of ASIR, ASPR, ASDR and ASR of DALYs by sex in China from 2022 to 2050 of the ARIMA model.

Figure 8. The predicted results in the A-LC-related numbers and age-standardised rates of ASIR, ASPR, ASDR and ASR of DALYs by sex in China from 2022 to 2050 of the ES model.
Table 5. The number of predict cases of A–LC in China from 2022 to 2050 by ARIMA model.

We found that the main risk factor for A-LC cases and deaths in China from 1990 to 2021 was alcohol abuse, followed by smoking, obesity and other factors. Interestingly, the largest percentage increase in primary liver cancer risk factors for cases and deaths in China from 1990 to 2021 was obesity, in contrast to alcohol consumption, which accounted for more than 80% of cases in the past and smoking, which accounted for more than 10% of cases in the past, both of which accounted for varying degrees of reduction in 2021. In addition, the overall ASR of A-LC patients in China increased over time during 1990–2021, but the increasing trend was not consistent and the rate of increase varied greatly from year to year; and there was a nonlinear correlation between the four major ASR values of A-LC burden in 2021. Observation of our study shows that the ASR or the number of cases has increased considerably since 2005, which may be attributed to the fact that the incidence of hepatitis B-associated HCC has declined due to the widespread use of the hepatitis B vaccine globally in recent years [7, 19], but the incidence of hepatitis C-associated HCC has been growing [20, 21]. In other words, hepatitis-associated liver cancer was briefly prevalent after the vigorous development of the hepatitis B vaccine for primary liver cancer contributed to the widespread vaccination of the population. It is also interesting to note that it has been reported in the literature that the regional increase in ASDR for Liver cancer due to hepatitis C (LCDHC) grows with the increase in Socio-demographic Index (SDI), whereas there is no correlation between ASDR and SDI at the national and regional levels [22]. Despite the greatest increase in the percentage change in primary liver cancer cases and deaths between 1990 and 2019 in regions with high SDI, there was an increasing trend in ASIR and a stable trend in ASMR for primary liver cancer. The largest increase in ASIR was found in Oceania and the largest increase in ASMR was found in Central Asia [12]. Our study also found that the number of incident cases caused by A-LC grew and the ASDR of A-LC declined from 1990 to 2021, which is consistent with the findings of a previous study that reported that the ASDR of HCC declined globally [23].
Table 6. The number of predict cases of A–LC in China from 2022 to 2050 by ES model.

Previous studies have reported that hepatitis B and C are the main causes of liver cancer and alcohol abuse is the most important risk factor for liver cancer in China [24, 25]. In 2021, alcohol abuse, a risk factor, accounted for approximately 82.3% of liver cancer deaths and obesity accounted for approximately 6.8%; compared to 1919, when the proportion of liver cancer deaths contributed to by obesity factors was only 1.8% and the increase in the obese population is a global trend [26]. In recent years, due to the successful development of the Healthy China strategy and the general improvement of Chinese people's living standards, the incidence of alcoholism-associated liver cancer has declined, but the incidence of obesity-induced-associated liver cancer has been growing. The disease burden of A-LC induced by alcoholism and smoking as the traditional percentage has been decreasing, while the disease burden of obesity-induced A-LC has been increasing rapidly between 1990 and 2021. Thus, obesity has become one of the fastest-rising causes of liver cancer share. In addition to addressing alcohol abuse, understanding the burden of obesity-induced HCC may help to reduce the overall burden of the disease [27, 28].
In our study, we found a high number of incidence cases in the age group of 50–89 years, suggesting that the trend of older age groups accounting for the majority of patients with A-LC is in line with previous reports in the literature [12, 13, 23]. Tables 1 and 3 show that in 2021, the burden of liver cancer in the age group of 50 years and above will be almost more than 90% of the total prevalence (89.06% incidence and 91.11% mortality). Findings from numerous previous studies recommend screening for HCV in older adults to facilitate early detection of infection and timely initiation of treatment. HCV-infected older adults should receive prompt and effective treatment to reduce the risk of liver cancer [22, 29]. In addition, people over 50 years of age and elderly HCV patients should undergo routine monitoring of liver function and early detection of any signs of liver cancer for prevention [30]. The ASIR of LCDHC has also been reported to show the greatest increase in Asia-Pacific, North Africa, the Middle East and Central Asia from 1990 to 2019 and HCV is the leading cause of primary liver cancer in high SDI high regions, with HCC caused by chronic hepatitis C infections accounting for 43% and 41.4% of the deaths and morbidity cases of HCC, respectively, in these regions [31]. It has been documented that certain high-income regions, such as Japan, have a higher ASIR for LCDHC than most countries. Despite having more resources, including financial resources, healthcare infrastructure and medical technology, high-income countries are not immune to the burden of HCV infection and LCDHC [29]. Therefore, the development of an effective HCV vaccine is essential to achieve the goal of eliminating HCV by 2030 [32].
In addition to differences in different age groups, our study also found a significant difference in the burden of A-LC between the sexes.2021 The highest incidence of A-LC in the population suffering from liver cancer was found in alcoholic obese older men. The incidence of A-LC was generally higher in males than in females, a trend that has persisted across all stages of the age group, a trend that is similar to the findings of previous studies in the literature [13]. The reasons for this higher rate in males than females may be as follows: males are more likely to be alcoholics, smokers and more likely to be obese in stature. Hormonal differences between males and females may also play a role, as oestrogen has been shown to have a protective effect against liver cancer and oestrogen levels are usually higher in females than in males [33]. In addition, it has been suggested that testosterone may promote the growth of HCC cells, which may also contribute to the gender difference in the incidence of HCV-associated HCC [34].
To date, there are no clinical treatments that can effectively cure patients in complete remission of A-LC patients. Therefore, strengthening the control of alcohol intake in male at-risk groups and urging obese HBMI-statured at-risk groups to lose weight and become fit are the main strategies to reduce the burden of A-LC. Due to the lack of an effective vaccine to prevent HCV infection, despite the introduction of targeted antiviral drug regimens a decade ago, which can cure more than 90% of HCV patients, high costs, drug resistance and reinfection rates remain significant barriers to achieving this goal [35, 36]. Despite advancements in global healthcare standards and increased awareness of HCV, the detection rate of HCC remains suboptimal. This has contributed to a decline in ASIRs. However, many HCV patients lack access to effective treatment and subsequently develop HCC [32]. Therefore, evaluating the effectiveness of prevention programs, comparing observed values and expected levels in each country and region while considering other factors (e.g., the prevalence of hepatitis C infection, availability of healthcare and screening programs, availability of effective treatment programs, demographic factors) and then comprehensively developing and designing an effective clinical treatment process for patients with A-LC is essential to achieve a sustained reduction in the burden of HCC and even the goal of eliminating A-LC by 2050 is critical.
The main strengths of this study include the analysis of the most recent data on the A-LC burden in China, specifically focusing on ASRs for mortality, DALYs, incidence and prevalence related to the major causes of A-LC. To our knowledge, this is the latest comprehensive examination of the A-LC burden in China, along with predictions of trends over the next 25 years, including associated risk factors.
However, there are limitations to consider. First, data quality and completeness: Our estimates for A-LC burden in China are based on the raw data underlying GBD 2021. In the 1990s, disease registries were less developed and internet access was limited, which likely led to incomplete registrations and possible underestimation of true case counts. Modeling with incomplete data: In regions or periods with sparse data, estimates rely on statistical modeling and historical trends. This can introduce uncertainty, variability and potential discrepancies across regions and over time. Second, regional granularity: While we present subnational patterns, the analysis does not capture fine-grained country-specific details that may reflect important local variations in risk factors, healthcare access and reporting practices within China. In addition, epidemiologic data can be inconsistent, as the diagnostic and surveillance systems are constantly changing. Finally, Lack of genetic information: The GBD database does not include genetic data, which limits our ability to explore the joint influence of environmental exposures and genetic susceptibility on disease burden. Potential confounding and attribution: Attribution of liver cancer burden to alcohol may be affected by coexisting risk factors (e.g., hepatitis B/C infections, aflatoxin exposure, obesity). Regional differences in these factors could bias the estimated alcohol-attributable burden. Changes in definitions and coding: Shifts in disease definitions, coding practices or diagnostic criteria over the study period may affect comparability across years. Generalizability: Although the findings are robust at national and regional levels for China, caution is needed when extrapolating to other populations with different risk profiles and health systems. Despite these limitations, the analysis provides valuable, policy-relevant insights into long-term trends and regional patterns of A-LC burden in China.
Conclusion
Although the ASR associated with A-LC has declined in the last 3 years, the absolute numbers of morbidity cases, mortality and DALYs have increased, suggesting that A-LC remains a significant burden, at least in China. From the perspective of gender, there is a substantial difference in the risk of ALC between men and women and the ASR associated with morbidity and mortality is always significantly higher in men than in women. The ARIMA model predicts that by 2050, the incidence of male A-LC patients in China will exceed 20,000 the number of deaths will continue to increase by nearly 20,000 and the overall ASR of men will remain more than twice the level of women. Our findings provide insights into trends in China's A-LC burden in 2050 and can help policymakers develop appropriate approaches to reduce the disease burden of A-LC in China ultimately. Focusing on these burden trends is critical, especially as the number of A-LC cases and the aging population continue to grow.
Acknowledgments
Funding was provided by the Science and Technology Program of Guangzhou (No. 2024A04J4802).
Conflicts of interest
We declare that we have no financial and personal relationships with other people or organizations that can inappropriately influence our work, there is no professional or other personal interest of any nature or kind in any product, service and company that could be construed as influencing the position presented in or the review of the manuscript entitled.
Author contributions
Managing the overall research enterprise: Nan Luo and Pengkhun Nov; Writing the first draft of the manuscript: Pengkhun Nov, Juanli Xu and Jiqiang Li; Primary responsibility for applying analytical methods to produce estimates: Nan Luo; Primary responsibility for seeking, cataloguing, extracting or cleaning data; designing or coding figures and tables, providing data or critical feedback on data sources: Prasai Arzoo.
Data availability
This study follows the Guidelines for Accurate and Transparent Health Estimates Reporting (GATHER). To download the data used in these analyses, please visit the Global Health Data Exchange (GHDx). https://ghdx.healthdata.org/gbd-2021.
Ethical approval
Not applicable because this study extracted data from database.
References
1. Chuang S C, et al (2015) Alcohol consumption and liver cancer risk: a meta-analysis Cancer Causes Control 26(9) 1205–1231 PMID: 26134046
2. Liu H, et al (2024) Mortality burden of liver cancer in china: an observational study from 2008 to 2020 J Clin Transl Hepatol 12(4) 371–380 https://doi.org/10.14218/JCTH.2023.00455 PMID: 38638380 PMCID: 11022066
3. Cao M, Ding C, and Xia C, et al (2021) Attributable deaths of liver cancer in China Chin J Cancer Res 33(4) 480–489 https://doi.org/10.21147/j.issn.1000-9604.2021.04.05 PMID: 34584373 PMCID: 8435823
4. Chalasani N, Younossi Z, and Lavine JE, et al (2012) The diagnosis and management of non-alcoholic fatty liver disease: practice guideline by the American Gastroenterological Association, American Association for the Study of Liver Diseases, and American College of Gastroenterology Gastroenterology 142(7) 1592–1609 https://doi.org/10.1053/j.gastro.2012.04.001 PMID: 22656328
5. Penninti P, Adekunle AD, and Singal AK (2023) Alcoholic hepatitis: the rising epidemic Med Clin North Am 107(3) 533–554 https://doi.org/10.1016/j.mcna.2022.12.005 PMID: 37001952
6. Ginès P, et al (2021) Liver cirrhosis Lancet 398(10308) 1359–1376 https://doi.org/10.1016/S0140-6736(21)01374-X PMID: 34543610
7. Akinyemiju T, Abera S, and Ahmed M, et al (1990) The burden of primary liver cancer and underlying etiologies from 1990 to 2015 at the global, regional, and national level: results from the global burden of disease study 2015 JAMA Oncol 3(12) 1683–1691
8. Rumgay H, et al (2022) Global burden of primary liver cancer in 2020 and predictions to 2040 J Hepatol 77(6) 1598–1606 https://doi.org/10.1016/j.jhep.2022.08.021 PMID: 36208844 PMCID: 9670241
9. Liu Z, et al (2019) The trends in incidence of primary liver cancer caused by specific etiologies: results from the Global Burden of Disease Study 2016 and implications for liver cancer prevention J Hepatol 70(4) 674–683 https://doi.org/10.1016/j.jhep.2018.12.001
10. Islami F, et al (2021) Annual report to the nation on the status of cancer, part 1: national cancer statistics J Natl Cancer Inst 113(12) 1648–1669 https://doi.org/10.1093/jnci/djab131 PMID: 34240195 PMCID: 8634503
11. Xing QQ, Li JM, and Dong X, et al (2022) Socioeconomics and attributable etiology of primary liver cancer, 1990-2019 World J Gastroenterol 28(21) 2361–2382 https://doi.org/10.3748/wjg.v28.i21.2361 PMID: 35800181 PMCID: 9185214
12. Cao G, Liu J, and Liu M (2023) Global, regional, and national trends in incidence and mortality of primary liver cancer and its underlying etiologies from 1990 to 2019: results from the global burden of disease study 2019 J Epidemiol Glob Health 13(2) 344–360 https://doi.org/10.1007/s44197-023-00109-0 PMID: 37178451 PMCID: 10271958
13. Choi S, Kim BK, and Yon DK, et al (2023) Global burden of primary liver cancer and its association with underlying aetiologies, sociodemographic status, and sex differences from 1990-2019: a DALY-based analysis of the Global Burden of Disease 2019 study Clin Mol Hepatol 29(2) 433–452 https://doi.org/10.3350/cmh.2022.0316 PMID: 36597018 PMCID: 10121317
14. (2024) Global incidence, prevalence, years lived with disability (YLDs), disability-adjusted life-years (DALYs), and healthy life expectancy (HALE) for 371 diseases and injuries in 204 countries and territories and 811 subnational locations, 1990-2021: a systematic analysis for the Global Burden of Disease Study 2021 Lancet 403(10440) 2133–2161. https://doi.org/10.1016/S0140-6736(24)00757-8 PMID: 38642570 PMCID: 11122111
15. Bertuccio P, et al (2017) Global trends and predictions in hepatocellular carcinoma mortality J Hepatol 67(2) 302–309 https://doi.org/10.1016/j.jhep.2017.03.011 PMID: 28336466
16. Omran AR (1971) The epidemiologic transition. A theory of the epidemiology of population change Milbank Mem Fund Q 49(4) 509–538 https://doi.org/10.2307/3349375 PMID: 5155251
17. Fitzmaurice C, Allen C, and Barber RM, et al (2017) Global, regional, and national cancer incidence, mortality, years of life lost, years lived with disability, and disability-adjusted life-years for 32 cancer groups, 1990 to 2015: a systematic analysis for the global burden of disease study JAMA Oncol 3(4) 524–548 https://doi.org/10.1001/jamaoncol.2016.5688
18. Kocarnik JM, Compton K, and Dean FE, et al (2022) Cancer incidence, mortality, years of life lost, years lived with disability, and disability-adjusted life years for 29 cancer groups from 2010 to 2019: a systematic analysis for the global burden of disease study 2019 JAMA Oncol 8(3) 420–444 https://doi.org/10.1001/jamaoncol.2021.6987 PMCID: 8719276
19. Liu Z, Mao X, and Jiang Y, et al (2019) Changing trends in the disease burden of primary liver cancer caused by specific etiologies in China Cancer Med 8(12) 5787–5799 https://doi.org/10.1002/cam4.2477 PMID: 31385465 PMCID: 6745850
20. Di Marco L, La Mantia C, and Di Marco V (2022) Hepatitis C: standard of treatment and what to do for global elimination Viruses 14(3) https://doi.org/10.3390/v14030505
21. Ouyang G, Pan G, and Guan L, et al (2022) Incidence trends of acute viral hepatitis caused by four viral etiologies between 1990 and 2019 at the global, regional and national levels Liver Int 42(12) 2662–2673 https://doi.org/10.1111/liv.15452 PMID: 36214561
22. Wei J, et al (2023) Burden of liver cancer due to hepatitis C from 1990 to 2019 at the global, regional, and national levels Front Oncol 13 1218901 https://doi.org/10.3389/fonc.2023.1218901
23. Li Y, Ou Z, and Yu D, et al (2023) The trends in death of primary liver cancer caused by specific etiologies worldwide: results from the Global Burden of Disease Study 2019 and implications for liver cancer management BMC Cancer 23(1) 598 https://doi.org/10.1186/s12885-023-11038-3 PMID: 37380957 PMCID: 10303795
24. Jacob R, et al (2023) Alcohol and its associated liver carcinogenesis J Gastroenterol Hepatol 38(8) 1211–1217 https://doi.org/10.1111/jgh.16248 PMID: 37263779
25. Liu C, et al (2023) Global, regional, and national burden of liver cancer due to non-alcoholic steatohepatitis, 1990-2019: a decomposition and age-period-cohort analysis J Gastroenterol 58(12) 1222–1236 https://doi.org/10.1007/s00535-023-02040-4 PMID: 37665532
26. (2016) Trends in adult body-mass index in 200 countries from 1975 to 2014: a pooled analysis of 1698 population-based measurement studies with 19·2 million participants Lancet 387(10026) 1377–1396 https://doi.org/10.1016/S0140-6736(16)30054-X PMID: 27115820 PMCID: 7615134
27. Zhang X, Coker OO, and Chu ES, et al (2021) Dietary cholesterol drives fatty liver-associated liver cancer by modulating gut microbiota and metabolites Gut 70(4) 761–774 https://doi.org/10.1136/gutjnl-2019-319664
28. Bu L, Zhang Z, and Chen J, et al (2024) High-fat diet promotes liver tumorigenesis via palmitoylation and activation of AKT Gut 73(7) 1156–1168 https://doi.org/10.1136/gutjnl-2023-330826 PMID: 38191266
29. Razavi H, Sanchez Gonzalez Y, and Yuen C, et al (2020) Global timing of hepatitis C virus elimination in high-income countries Liver Int 40(3) 522–529 https://doi.org/10.1111/liv.14324
30. Hsu YC, Huang DQ, and Nguyen MH (2023) Global burden of hepatitis B virus: current status, missed opportunities and a call for action Nat Rev Gastroenterol Hepatol 20(8) 524–537 https://doi.org/10.1038/s41575-023-00760-9 PMID: 37024566
31. Lin L, Yan L, and Liu Y, et al (2020) The burden and trends of primary liver cancer caused by specific etiologies from 1990 to 2017 at the global, regional, national, age, and sex level results from the global burden of disease study 2017 Liver Cancer 9(5) 563–582 https://doi.org/10.1159/000508568 PMID: 33083281 PMCID: 7548973
32. Chen S, Mao W, and Guo L, et al (2030) Combating hepatitis B and C by 2030: achievements, gaps, and options for actions in China BMJ Glob Health 5(6)
33. Chuang SC, Vecchia CL, and Boffetta P (2009) Liver cancer: descriptive epidemiology and risk factors other than HBV and HCV infection Cancer Lett 286(1) 9–14 https://doi.org/10.1016/j.canlet.2008.10.040
34. White DL, Tavakoli-Tabasi S, and Kuzniarek J, et al (2012) Higher serum testosterone is associated with increased risk of advanced hepatitis C-related liver disease in males Hepatology 55(3) 759–768 https://doi.org/10.1002/hep.24618
35. Pawlotsky JM, et al (2015) From non-A, non-B hepatitis to hepatitis C virus cure J Hepatol 62(1 Suppl) S87–S99 https://doi.org/10.1016/j.jhep.2015.02.006 PMID: 25920094
36. Baumert TF, Berg T, and Lim JK, et al (2019) Status of direct-acting antiviral therapy for hepatitis C virus infection and remaining challenges Gastroenterology 156(2) 431–445 https://doi.org/10.1053/j.gastro.2018.10.024